1945年1月11日至28日在滨海劳动模范和劳动英雄大会上,选出了28位“劳动英雄”,《大众日报》(1945年2月3日)头版公布名单和县籍。1945年6月滨海区行政公署出版《劳动英雄大会特辑》专刊,其中对“劳动英雄”作了画像、籍贯、主要事迹等更加详细的介绍。然而,这一期专刊现存世数量极少,且早已成为革命文物,非特别部门需要、非经相关领导批准不能查阅,想获得其整体资料,困难极大,经过几年对相关资料的搜集积累,就在“劳动英雄”这一部分资料基本集全之际,迎来了滨海区英模大会举行八十周年之时,这是一个历史的巧合!
现将其逐次推出,一是为山东抗日战争史料和当年战斗在滨海区的老一辈无产阶级革命家如罗荣桓、黎玉、陈士榘、萧华、唐亮等讲话文稿中提及的相关人和事件做一注解,便于研究探讨;二是以兹纪念,同时发挥历史资政育人的作用。

一、“劳动英雄”称号的由来
“劳动英雄”是表彰劳动者的至高荣誉称号。这一称号最早于1938年12月由前社会主义国家苏联设立,授予表现出劳动英雄主义,在提高社会生产效率,促进国民经济、文化、科学发展方面建立特殊功勋者的最高表彰。
在中国共产党的历史上,这一提法最早出现在1942年5月1日陕甘宁边区政府召开群众大会上,正式宣布吴满有为全边区模范劳动英雄、模范抗属、模范公民。
伴随着劳模运动的不断发展,陕甘宁边区和各抗日民主根据地涌现出一大批劳动英雄和模范工作者,为激励各界劳动群众的生产热情,1943年11月26日至12月16日,陕甘宁边区第一届劳动英雄代表大会在延安举行,185名劳动英雄出席,3万余人到会,毛泽东主席在大会上作了《组织起来》的讲演,被誉为“中国历史上第一次出现的,是中国劳动人民空前荣典”的大会。1944年12月22日至1945年1月14日,中共中央办公厅、西北局、边区政府和陕甘宁晋绥联防军司令部联合在延安举办了第二届陕甘宁边区劳动英雄与模范工作者大会,有476位劳模出席。毛泽东主席在大会上作题为《两三年内完全学会经济工作》的讲话,指出劳动英雄和模范工作者有三个作用,即带头作用、骨干作用、桥梁作用。

▲1943年11月29日毛泽东在中共中央招待陕甘宁边区劳动英雄大会上作《组织起来》的讲演

▲刘少奇同志在陕甘宁边区劳动英雄大会上作报告(1943年)
这两次大会上吴满有和赵占魁被选为特等劳动英雄,是众多劳动英模的代表性人物,党中央向全党和各抗日根据地发出了学习和推广两位劳动英雄的“吴满有方向”和“赵占魁运动”。

▲吴满有精神:“肯劳动、会经营、会计划、公民模范。”他的方向,就是边区和个抗日根据地全体农民的方向。

▲赵占魁运动:是一位用革命者的态度对待工作的“新式劳动者”
陕甘宁边区的这两次英模大会极大推动了各抗日根据地劳模运动的开展,为发展生产、加强各项建设、应对经济困难和赢得抗日战争胜利起到了重要作用,创造了宝贵经验。
二、滨海“劳动英雄”像
1945年1月莒中县寨里河滨海劳动英模大会共投出581票,全票当选的七位滨海“劳动英雄”是:郑信、刘兴义、王思义、孙贵英、臧天禄、袁召扬、王永禄。
(一)郑信

1、事迹介绍:他今年五十五岁,在政府帮助下开荒十六亩半,连原有八亩,共二十四亩半。九口人,已经作到有吃有穿,还多交了四十斤公粮。坪上大会后,就把得奖的骡子给了变工组。先成立一个变工组,推动了全庄的变工。优抗工作也放在组内。负责几次垮台和处理,他深知道,干部抓紧,组长负责账目,算清才能坚持领导。开荒一百二十亩,创造下雨天大变工开荒的办法,领导运盐队,亲自给他们借钱借家具,全年挣钱三万元,自己动手募股成立消费、纺织合作社,社内挣钱二万元,二百多个纺车,每人挣三、四百元,以后领导十二个,卖棉组挣钱二万多元。在冬学内分了斗争果实,发起“找干换工”斗争,他自己找出了二千八百元,捐给民兵一千元,其余的入合作社,大家分红。他还是村农救会长、区冬学委员、生产委员、农救委员……共十二个职务。一年工作很忙,秋天坏蛋利用他的名,自己做生意,挑拨全庄团结,他警觉后向大家反省了,就发起对坏蛋的斗争,群众更**了,现在他庄没有一个要饭的,贫农很多升上为中农了。
2、履历简介:郑信(1890—1961)中共党员,时属滨海区莒南县筵宾区大山前村人,今山东省临沂市莒南县十字路办事处大山前村人,出生于贫苦农民家庭。
劳动英雄郑信(1943年摄)
1942年组织12人的开荒小组,任组长。1943年成立45人的开荒队,任队长,当年开荒70亩,郑信一人开荒7亩。冬,任村农救会会长,被选为筵宾区生产委员会委员和冬学委员会委员。11月,《大众日报》发表题为《学习郑信,培养更多的郑信》的社论,是年刊登长篇通讯《郑信全家秋收忙》和《郑信的故事》,介绍郑信的先进事迹。号召全省农村党员学习郑信。
1943年12月,出席滨海区在坪上召开的劳模大会,被选为大会主席团成员,奖给毛驴1头,肥猪1头,农具6件。是年,贾霁编著的多幕歌剧《郑信开荒》和王杰谱写的《郑信开荒》一歌,在滨海区广为传唱。
1944年2月加入中国共产党。当年春,成立变工队,任队长,将全村划分为29个变工组,带领全村农民开荒120亩。他又集股办消费合作社,把全村剩余劳力组织起运盐队、纺线队、织布组,当年收入7万元(北海币),农民生活变得富余起来,17户逃荒的和7户要饭的都回村安居。7月,郑信出席莒南县英模大会,被选为一等劳动模范,奖给骡子1头,中共莒南县委号召全县人民向郑信学习。
1945年1月,出席滨海区在莒中县寨里河(今莒县寨里河村)召开的劳动模范大会,获“滨海区劳动英雄”称号,奖给黄牛1头。8月,被选为滨海区参议员。1947年6月,迁往北石桥村,任村农救会会长。
1953年任“红光”农业生产合作社第一副社长。1956年退休。1961年7月去世。
据不完全统计,大众日报从1943年冬到1951年,8年中报道郑信和他所在的大山前村150余次,十几万字,还有《滨海农村等刊物的多篇报道,先后参加报道的记者、编辑、通讯员达二三十人之多。通过报纸的宣传和帮助,郑信和大山前村各项工作都走在前面,不仅成为莒南县、滨海区的先进典型,而且成为全省的一面旗帜,成为大家学习的榜样和模范。
(二)刘兴义

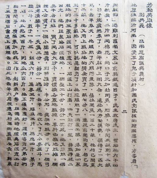
1、事迹介绍:他原住临沂河西,因为受不了鬼子汉奸的和国民党的糟蹋压榨,方 带着“办饭的”逃难到莒南文家山前要饭过日子。民主政府成立,帮助他六十四斤粮食,二斤四两棉花,两口子就加劲开荒、纺线,年年开五亩到十二亩,日子就发起来了,去年在坪上开大会,选他为劳动模范,领得了一匹大马。去年春天,他组织了六组开荒队,集体开荒一百二十亩,他自己开荒十二亩,他又用上级给他的奖金买了一亩七分八,连从前开的荒,自己就有了二十多亩地,可以说是翻身了。他还组织了一个变工队,参加是四家种地的和五家石匠两下变工,石匠上山打磨,四天能打一盘,每盘挣钱二百元;他们在家给石匠种地,一个整工十分,每分一块钱。他又组织一个养牛合作社,买了两条大沙牛,买价按各家地级摊,材料也按地级摊。栏里又公买了一个小猪糟粪,到耕种时,牛公用,粪按地级分。找了一个弓腰老汉喂牛,一天算三分,每分一块钱。去年,他收入了大小麦三斗,高粱二斗,谷子一斗五,缸豆六升,荞麦五升,绿豆五升,棉花四斤,果子(注:花生)一石,地瓜干三百斤,刨地瓜六百斤。他不仅生产好,还领导穷兄弟爷们翻身斗争,积极参加抗战工作,创办“庄户学”,在备战时他还与石匠变工了五百个石雷送上区里去。因此,他去年六月被选为村里的农救会长,群众把村名改成“兴义村”。他的事迹被编成歌曲《刘兴义开荒》,广为传唱。
2、履历简介:刘兴义(1902—1988)原籍临沂县簸箕掌村,1938年,携妻逃荒到筵宾乡文家山前村落户。1941年,响应抗日民主政府号召,夫妻俩积极纺线,开垦荒地,当年开荒10余亩。1943年春,带头组织6个开荒队,集体开荒120亩。他早出晚归,仅他1人就开荒12亩。是年,他领导9户贫苦农民成立变工队,又组织一个养牛合作社。为支援抗日战争,他们还制作500个石雷送到区政府。12月,出席滨海区在坪上召开的劳动模范大会,奖给大马1匹。1944年6月加入中国共产党,任村农救会会长。群众把村名改成“兴义村”。他的事迹被编成歌曲《刘兴义开荒》,广为传唱。7月出席莒南县英模大会,他领导的开荒队被评为模范开荒队,他被评为一等模范。1945年1月,出席滨海区在莒中县寨里河召开的劳动模范大会,获“滨海区劳动英雄”称号。1947年带领民工支前,参加孟良崮战役。1959年返回原籍临沂县。1988年去世。
(三)王思义

1、事迹介绍:家里共五口人,四亩半地,雇过三年。今年春天就领导变工组由五家扩大到十八家,全庄由二是六个组扩大合并成十四组,只有四家没参加的。组里有打油、粉坊、生意副业、纺织,优待贫、寡、妇、抗属,在组内负责,组里有一个学习小组长,学了字再教大家,研究了新生产办法,取消旱园合种,近水的大园轮流班浇菜。合伙养牛,按地级出牛价凑草料、分粪,实行“调查(注:茬)子”,一个地区种一样庄稼,免得“拉窝子”误功夫。切地瓜秧,摘花生,铡麦子打场,都是组织妇女集体干,变工推煎饼、轮流看小孩、喂猪,其余的下地干活,旱天压地瓜,每挑水浇二十棵,结果每亩增产百斤,组织小孩妇女到地里拔“萋萋芽”、扶地瓜沟,选出上手。用帮助二流子做活的办法改造了二流子,铡地瓜干是各组妇女儿童分工合作的,全庄的副业共九个油坊、一个粉坊、六张机、三个磨坊,一个木匠合作社。包工打油和布等挣的钱,按全庄一拜八十八个劳力,每人棵分到一百五十元,还有婚丧公事互助的办法。一年来,全庄十一家贫农上升为中农,一家由赤贫升到中农,一家中农上升为富农。王思义也由缺半年吃粮上升为有吃有穿的中农了。
2、履历简介:王思义(1908.5一1995.4)汉族,是时属滨海区莒南县峧山区小坊前庄人,今为莒南县坊前镇王家坊前村。1908年5月出生,1942年加入中国共产党。
在抗日战争初期,在敌我斗争复杂、炮火连天、生命朝夕不保的形势下,王思义经王奉吉介绍,于1942年秋加入中国共产党。三个月后被选进村党支部并兼任互助组组长。1943年参加了曹明楼在于家岭村举办的全县各救会学习班。回村后被选为村各救会会长兼农救会长。他积极组织和帶领群众,成立互助组,参加工抗日斗争。发展全村的农业生产。在党的一切为了抗日,一切为了前线的号召下,他一面组织群众坚持清野,反抗日本侵略者的“杀光、烧光、抢光”的三光政策;一面大力发展生产,鼓励开荒种地。解放战争时全县八批民工在前线见面时,他就组织村里的儿童团、“识字班”和老妇女一齐上阵,挑起农业上的耕、种、锄、割、收、藏的重担。
1945年春,峧山区区公所岔河村在岔河村,由孔祥林、王若望主持成立了峧山区各救会,王思义被选为区各救会副会长(孔祥林为各救会长、王茂聚为区长)。当时王思义的革命事迹就轰动了 峧山区的十里八村。1945年1月,王思义被推举为滨海区劳动模范,1月11日出席了在寨里河村召开的滨海区劳动模范大会,在劳动模范中,王思义又被选为劳动英雄,滨海区行政主任公署主任谢辉亲自奖给他一个红底金边状元匾和一头大黄牛。匾上题有“劳动状元”四个镏金大字。会后,区长王纪法又在竹墩村召开区劳动模范大会,奖给王思义一面“劳动状元”大红旗,会上决定给劳动状元举行隆重的挂匾升旗仪式。当隆重仪式开始时,首先鸣礼炮十响,接着有“识字班”、儿童团、秧歌队献歌献舞献贺词。状元匾悬挂在王思义的大门楼檐下门头上,光彩夺目。状元大旗在鞭炮齐鸣,锣鼓喧天中,沿着红色旗杆徐徐升起,在暴风雨般的掌声中,状元旗迎风飘扬。参加挂匾、升旗的仪式的干部群众,看到此景个个手舞足蹈,无比激动。
1947年春,王思义被调到区公所任区各救会长。之后他响应党的精兵简政的号召,于1948年春,回本村任党支部副书记兼村供销合作社经理。任职半年,又调到区供销合作社任辅导员,任职五年。随着形势的发展,因他没有文化,做此项工作有困难,经他本人申请,组织批准,他仍回本村任党支部副书记。1957年成立五个村(王坊前、左坊前、大坊前、桑庄、可乐坡)一个大社时,他担任了养猪场场长。成立人民公社时,又任本村支部副书记兼管副业生产。
“文革”期间,王思义被夺权罢官,成了专政的对象,屡遭批判折磨。后被送到村南河边园林里劳动。在逆境中,他用全部心血看护树林,干得很出色。“四人帮”倒台后,党组织找到他为其申冤鸣屈,官复原职,并请他进党支部主持工作。他说:“我的工作很忙。我的心思在这里一把这片园林搞好,有的让其长大成材,有的让其硕果累累,同样是为民贡献,造福后人啊!”为此,他积极物色能接替他做支部领导工作的人选。后来,当他看到他荐举的接班人进入支部,领导着村民在社会主义大道上开拓前进时,他非常高兴。他说:“这很好,这就是我的心愿。”而他仍回到河边的园林里去了。1995年4月因病去世。
(四)孙贵英

1、事迹介绍:她十七岁就到婆家做团圆媳妇,日子没发过,挖野菜,吃糠,还得她下湖耪地,借人家二升穇子做“糊涂”吃,还得她用“工夫”还账,他公公是后的,爷儿俩光招架,她就动员丈夫参加了区中队,地里活—耪地、拾草都得她干了,她婆婆常常揪着头发打她。今年她参加了妇救会,仍是下湖干活,用扁担挑着筐,捎着拾粪、拾草,来家再办饭…她地里活不用人帮忙,耕种收割都能干,还跟人合伙去推盐。她种的地上粪多,工夫多,比别人都打的多,像她种的半亩棉花耪了八遍,收了十八斤半绒子,挨边的半亩地只收了八斤绒子,今夏她又被选为妇救会长,慰劳军队,照顾抗属都很积极。她今年没吃政府的优待粮,还组织了东庄的五家抗属开了个小合作社,保证以后也不吃政府优待的粮食。
2、履历简介:孙贵英,1925年3月生,娘家是苍山县南哨村,17岁出嫁到郯城县掛剑区城里村(今郯城县泉源乡前城村)。新婚不久,村里召开动参大会,她积极鼓励和支持丈夫宋伯法参军。1943年,她精心种植的棉花,创下亩产250斤籽棉的好收成,被区委领导称为“种棉能手”。这年夏天,天气干旱,在她的精心管理下,她家共收获粮食2600多斤,籽棉500多斤,除了留下家里人的口粮外,其余的全部支援了前线,她被群众推选为劳动模范,光荣地出席了1945年寨里河滨海区劳动模范授奖大会。

▲孙贵英中年照
孙贵英的模范事迹先后被《大众日报》和《滨海日报》刊登,马陵山游击区的干部、群众还把她的模范事迹编成歌曲进行演唱。孙贵英的名字很快响遍了整个滨海地区。
(五)臧天禄

1、事迹介绍:很小父亡,随母改嫁,后来回来与叔父租种一亩六分菜园,并靠做豆腐拾柴度生。好歹卖了七八亩地,但为顽固的苛捐无法生活,逃荒在外。八路军到了,参加了农救会,到路南来参观,回去就开始组织变工与民兵结合进行生产、开荒植树很多,用反贪污的果实来号召纺织,先帮助穷人解决了纺车、棉花、吃粮问题,慢慢的把纺线织布都恢复了,股金扩大后,附近村中的机匠都愿参加纺织,这庄就成了领导核心。为了救济失业的木匠和失业不正干的中医,就以社内款子帮他们整理起来成为合作社的一部分,各变工组内又成起了小副业生产组(打饼、运盐、卖花生、豆腐等)。粮贱布贵的时候,社内赊贷三千多元的布,解决了贫户的棉衣。把有余工夫的妇女儿童组织起来,到烟社内学卷烟,在组内还学算盘子,他的领导是任何事情由各组自己讨论解决,经常汇报、总结、讨论,并反对保守,有一定的检讨会,上下是一个的干部到各小组去亲自检查督促发起竞赛。
2、履历简介:滨北区诸莒县太平区石埠子村人,今潍坊市安丘市石埠子镇人,滨海区劳动英雄,在英模大会上说:“去年俺到莒南买牛,就试着比俺那里强得多,今年又来,更是不同,真是老根据地呀!”时任山东省行政委员会主任的黎玉曾在大会讲话中表扬臧天禄的诸多成绩。
(六)袁召扬

▲袁召扬任日照县副县长时的工作照
1、事迹介绍:滨海簸箕堂有个袁召扬,十三岁时,光着脊梁放牛,十五岁他爹死了,家种七小亩地,可怜山沟地不长粮食,加上国民党五十七军住在那里。荘长拿着算盘提着秤来收钱粮,没句好话,开囗就是:你有钱还是有地?今天纳三百斤,过几天又要纳四百斤。袁兆阳想:卖地就卖地,缴了这次钱粮,卖光了他总不能教我把命缴出来,心一横把七亩地一起卖光,卖地,卖地,卖地缴公粮,地卖光算完横着心袁兆阳将七亩地一起卖光。可成了个光蛋,挑担小挑子做买卖,一年足有四个月接不上粮。
八路军来,荘里组织起农救会,他就领导村里人开荒,镢头不是给叛军弄瞎了?民主政府帮他借镢头,三天开两亩荒地,庄上地瓜秧,晒了五百斤地瓜干,没有人向他要钱粮,不但够吃还有余粮,吃饱了,想法子给大家多办事,眼看着农救会长没选好,是个抱粗腿的,当了会长就同从前做了官一样,吃好的喝好的,不替大家多办好事,袁兆阳领着大家跟他算账,开四十天会,教他吞下的钱吐出来,好人把农会刀柄子拿回来,这可安心种地,一个号召,全荘大生产大开荒,人人高兴,能使镢头的使镢头,不能使镢头的老大娘,年幼的,收拾荒地上的石头,这一下开荒地二十四亩,开荒的开荒,除了开荒还成立合作社,运盐、开油坊。这年头眞是:又长粮食又挣钱,丰衣足食的日子可盼到头了。(摘自滨海劳动模范《王锡岐的故事》中王锡岐的大会记录和讲述)
2、履历简介:袁召扬,又写作袁肇杨,曾用名袁兆阳等,1914年出生在日照县簸箕堂(今日照市巨峰镇薄家口村)的一个中农家庭。1943年入党,1945年入伍。抗日战争时期,他先后担任村农救会会长,区革救会委员,村政治指导员(党支部书记)。1945年1月寨里河滨海英模大会上被授予“劳动英雄”的光荣称号。
解放战争时期,历任故乡大坡区区长,巨峰区副区长、区长,沈疃区区长,县人民政府实业科科长。在艰苦的环境条件下,立场坚定,积极支前,与敌人进行了坚决地斗争;土改工作中,认真贯彻党的路线、方针和政策,受到县委的物质奖励与上级党委的表扬。
在导沭工作中,担任日照县导沭指挥,多次被评为模范,为导沭工作做出了贡献。新中国成立后,他担任人民政府建设科科长,在日照县第三、四、五、六次人民代表大会上,当选为日照县人民委员。1954年7月起至1966年8月含冤去世前,历任副县长(分管农林水)、常务副县长、中共日照县委常委。
(七)王永禄
1、事迹介绍:王永禄,1930年参加红军 ,在十五年的革命事业中受伤十一次 。在地方上养病生产,至今已有两年多了 。今春家属从敌占区来到这里 ,为使不致增加公家的负担 ,他就计划着扩大全年的生产计划 亲自带领警备员开荒攒粪种地,全年辛勤劳苦生产的结果 ,十亩三分地共收了三千七百多斤,足够八口之家全年用。不但如此,他还能积极帮助群众生产,解决群众的困难,推动政府的政策法令 。他动员本庄赵崇庭参加主力,还动员了一个逃亡的战士归队 。用自己的力量帮助抗属耕地,他又帮助查减,解决了贫民的棉衣问题。这次敌人扫荡,他亲自率领民兵掩护群众转移和鬼子开火,鬼子亡二伤一,还打下了十来个包袱、三条牛、 一头骡,公家一匹布,还捉了两个汉奸 。“老王能生产,刻苦持家 ,又能帮助穷人打仗,在头(注:带头)保护咱庄老百姓 ”。这是庄里群众对王永禄同志恳切的评语。
2、履历简介:江西省兴国县吉水人,老红军战士,八路军115师干部,劳动模范。1938年春,任八路军115师343旅686团2营5连连长,带领5连组织了著名的白儿岭阻击战,掩护了卫立煌军队撤退,受到八路军副总指挥彭德怀的高度赞扬,5连成了115师的模范团队,他们的事迹被广为传颂。1942年8月至12月任八路军山东纵队二旅四团团长,在甲子山战役中负重伤,不能重返前线,住在莒南县团林乡北团林村达七年之久,同乡亲们一起开荒生产,种田,支援前线,被军民共同评为滨海区“劳动英雄”。革命战争年代,和莒南人民一起战斗、生产、生活了十余个年头,结下深厚的情谊,视莒南县革命老根据地为养育他的第二个故乡。新中国成立后,回到江西南昌休养。
三、历史意义
1、表彰劳动英雄及模范生产工作者、激励劳动者投身大生产运动是这次大会的主旨主题。大会表扬和奖励了28位劳动英雄,彰显了劳模精神、劳动精神、工匠精神,激发了根据地广大群众的劳动热情,劳动群众进一步组织起来、发展生产,有力地支援了抗日战争。
2、滨海区劳动英模群体的模范带头作用,对于推动整个山东抗日根据地贯彻执行党的方针政策,大生产运动,拥军拥政爱民,踊跃参军参战,全力支援前线,迅速提高广大人民群众的阶级思想觉悟,北上南下解放全中国等多方面工作的顺利开展都起到不可估量的作用。为滨海、山东地区以后成为人民解放战争大后方基地打下了坚实的基础。
3、新中国成立后的社会主义建设热潮中,作为滨海区中心县的莒南县能够在短时间内集中出现毛主席批示厉家寨整山治水、王家坊前入股办社、高家柳沟记工学习班三个典型,滨海劳动英模的巨大影响力也是其重要原因之一。
(指导 黎小弟 撰文 陈青 资料帮助 陈庆堂 王文洲)